神经网络
一、神经网络构成

在生物神经网络中,每个神经元与其它神经元相连,当它'兴奋"时,就会向相连的神经元发送化学物质,从而改变这些神经元内的电位;如果某神经元的电位超过了一个"阈值",那么他就会被激活,即"兴奋"起来,向其它神经元发送化学物质。
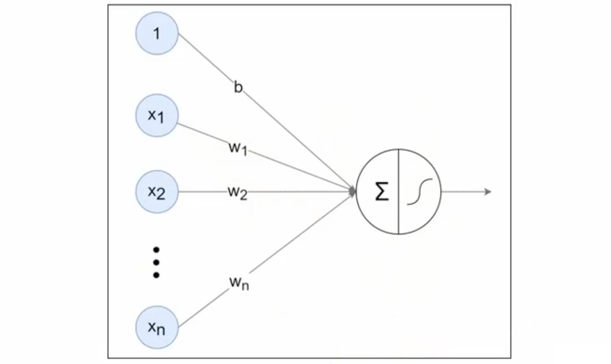
1943年,McCulloch和Pitts将上述情景抽象为如图所示的简单模型,这就是一直沿用至今的M-P神经元模型。把许多这样的神经元按一定层次结构连接起来,就得到了神经网络。

其中:
- a1,a2.........an为各个输入的分量
- w1,w2.......wn为各个输入分量对应的权重参数
- b 为偏置
- f 为激活函数,常见的激活函数有tanh,sigmoid,relu
- t 为神经网络输出
使用数学公式表示就是:
可见,一个神经元的功能是求得输入向量与权向量的内积后,经一个非线性传递函数得到一个标量结果。
1.神经网络基本概念和结构
人工神经网络(ArtificialNeuralNetwork,ANN)简称神经网络(NN),是一种模仿生物神经网络结构和功能的计算模型。大多数情况下人工神经网络能在外界信息的基础上改变内部结构,是一种自适应系统(adaptive system),通俗地讲就是具备学习功能。

人工神经网络中的神经元,一般可以对多个输入进行加权求和,再经过特定的“激活函数”转换后输出。

使用多个神经元就可以构建多层神经网络,最左边的一列神经元都表示输入,称为输入层;最右边一列表示网络的输出,称为输出层;输入层与输出层之间的层统称为中间层(隐藏层)。
相邻层的神经元相互连接(图中下一层每个神经元都与上一层所有神经元连接,称为全连接),每个连接都会有一个权重。
神经元中的信息逐层传递(一般称为前向传播forward),上一层神经元的输出作为下一层神经元的输入。
2.感知机
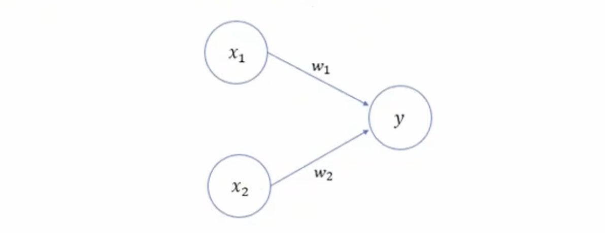
我们先复习一下在机器学习部分学习过的感知机。感知机(Perceptron)是二分类模型,接收多个信号,输出一个信号。感知机的信号只有 0、1两种取值。下图是一个接收两个输入信号的感知机的例子:

x1,x2是输入信号,y是输出信号,W,W2是权重,O称为神经元或节点。输入信号被送往神经元时,会分别乘以固定的权重。神经元会计算传送过来的信号的总和,只有当这个总和超过某个界限值时才会输出1,也称之为神经元被激活。

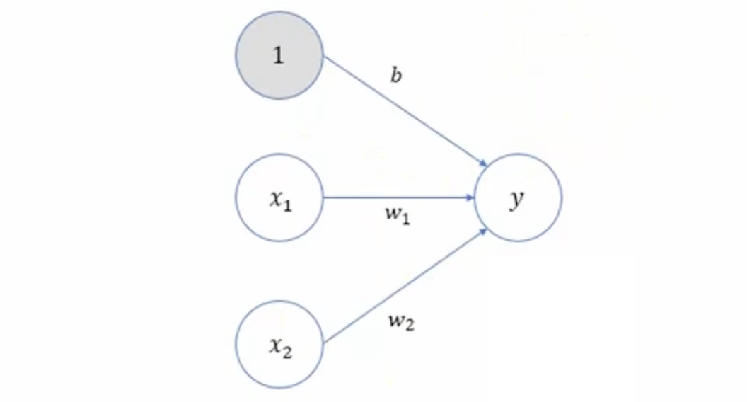
这里将界限的阈值设为0。除了权重w可以增加一个参数b,被称为偏置。

感知机的多个输入信号都有各自的权重,这些权重发挥着控制各个信号的重要性的作用,权重越大,对应信号的重要性越高。偏置则可以用来控制神经元被激活的容易程度。
常见的两层神经网络-感知机
感知机是由两层神经网络组成,输出层接收外界输入信号后传递给输出层(输出+1正例,-1反例),输出层是M-P神经元。

其中从W0,W1.........Wn都表示权重。