Pytorch 激活函数
PyTorch中已经实现了神经网络中可能用到的各种激活函数,我们在代码中只要直接调用即可。
一、Sigmoid 激活函数
Sigmoid函数将输入映射到0到1之间,常用于二分类任务的输出层。

二、Tanh 函数
双曲正切函数(Tanh)将输入映射到-1到1之间,常用于隐藏层。

三、Relu 函数
ReLU(Rectified Linear Unit)函数在输入大于0时输出输入值,否则输出0,是目前最常用的激活函数。
注意:x=0时,ReLU函数的导数是不可导的,但在实际应用中通常将其定义为0或1。

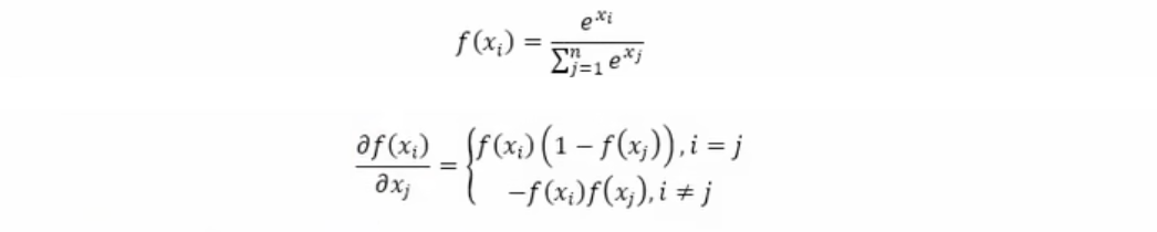
四、Softmax 函数
Softmax函数将输入向量转换为概率分布,常用于多分类任务的输出层。
