Pytorch 自动微分
一、梯度计算
训练神经网络时,框架会根据设计好的模型构建一个计算图(computational graph),来跟踪计算是哪些数据通过哪些操作组合起来产生输出,并通过反向传播算法来根据给定参数的损失函数的梯度调整参数(模型权重)。
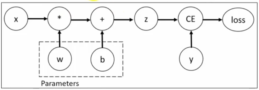
PyTorch具有一个内置的微分引擎torch.autograd以支持计算图的梯度自动计算。考虑最简单的单层神经网络,具有输入x、参数w、偏置b以及损失函数:

import torch
x = torch.tensor([[10.0]])
y = torch.tensor([[3.0]])
print(f"x = {x}, y = {y}")
# 初始化超参数
w = torch.rand(1, 1, requires_grad=True)
b = torch.rand(1, 1, requires_grad=True)
print(f"w = {w}, b = {b}")
# 计算前向传播得到输出值
z = w * x + b
print(f"z = {z}")
# 设置损失函数(均方损失函数)
loss = torch.nn.MSELoss()
loss_value = loss(z, y)
print(f"loss_value = {loss_value}")
# 反向传播
loss_value.backward()
# 查看梯度数据
print(f"w.grad = {w.grad}")
print(f"b.grad = {b.grad}")
该计算图中x、w、b为叶子节点,即最基础的节点。叶子节点的数据并非由计算生成,因此是整个计算图的基石,叶子节点张量不可以执行in-place操作(就地操作、原地操作),而最终的loss为根节点。
PS:损失值一定是一个标量值对应的张量,然后才能调用backward()方法。
可通过is_leaf属性查看张量是否为叶子节点:
# 判断节点是否是一个叶子节点
print(f"x is leaf: {x.is_leaf}")
print(f"z is leaf: {z.is_leaf}")
自动微分的关键就是记录节点的数据与运算。数据记录在张量的data属性中,计算记录在张量的grad_fn属性中。
计算图根据搭建方式可分为静态图和动态图,PyTorch是动态图机制,在计算的过程中逐步搭建计算图,同时对每个Tensor都存储grad_fn供自动微分使用。
若设置张量参数requires_grad=True,则PyTorch会追踪所有基于该张量的操作,并在反向传播时计算其梯度。依赖于叶子节点的节点,requires_grad默认为True。当计算到根节点后,在根节点调用backward()方法即可反向传播计算计算图中所有节点的梯度。
非叶子节点的梯度在反向传播之后会被释放掉(除非设置参数retain_grad=True)。而叶子节点的梯度在反向传播之后会保留(累积)。通常需要使用optimizer.zero_grad()清零参数的梯度。
有时我们希望将某些计算移动到计算图之外,可以使用Tensor.detach()返回一个新的变量,该变量与原变量具有相同的值,但丢失计算图中如何计算原变量的信息。换句话说,梯度不会在该变量处继续向下传播。例如:
tensor_data = torch.tensor([[10.0]], requires_grad=True)
# 使用detach分离计算图中的节点
tensor_detach = tensor_data.detach()
print(f"tensor_data = {tensor_data}, requires_grad = {tensor_data.requires_grad}, id = {id(tensor_data)}")
print(f"tensor_detach = {tensor_detach}, requires_grad = {tensor_detach.requires_grad}, id = {id(tensor_detach)}")
# 查看数据存储指针,底层数据共享
print(f"untyped storage: {tensor_data.untyped_storage().data_ptr()}, {tensor_detach.untyped_storage().data_ptr()}")
线性回归
通过PyTorch训练一个模型一般分为以下4个步骤:
准备数据→构理模型→定义损失函数与优化器→模型训练
PyTorch 实现线性回归: